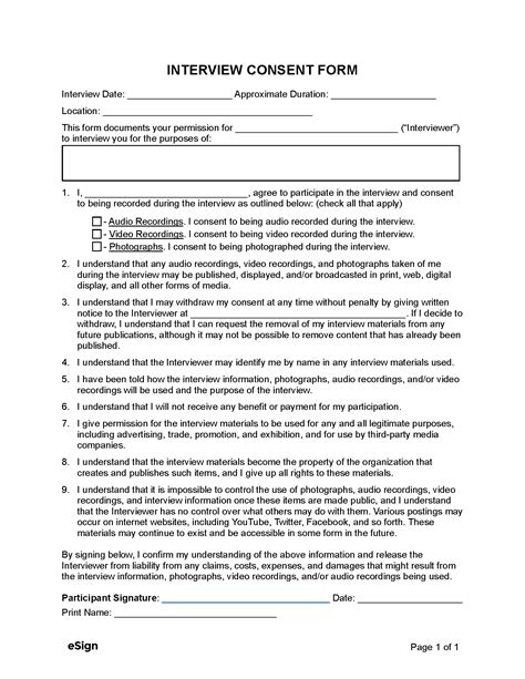
examples of consent forms for interviews
examples of consent forms for interviews. There are some references to examples of consent forms for interviews in this article. If you are looking for examples of consent forms for interviews you've came to the right place. We have posts about examples of consent forms for interviews. You can check it out below.
No posts matching the query: examples of consent forms for interviews. Show all posts
No posts matching the query: examples of consent forms for interviews. Show all posts
Subscribe to:
Comments (Atom)
