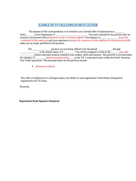
tn visa letter example
tn visa letter example. There are some references to tn visa letter example in this article. If you are looking for tn visa letter example you've came to the right place. We have posts about tn visa letter example. You can check it out below.
No posts matching the query: tn visa letter example. Show all posts
No posts matching the query: tn visa letter example. Show all posts
Subscribe to:
Comments (Atom)
